CSC Digital Printing System

Sample mean difference formula. Practice using shape, center (mean), and variability (standa...

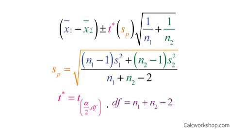
Sample mean difference formula. Practice using shape, center (mean), and variability (standard deviation) to calculate probabilities of various results when we're dealing with sampling distributions for the differences of sample means. Graphically this is shown in figure 2-7. blood pressure, weight, pain scales, etc. However, knowing the true mean and standard deviation of a population is often an unrealistic expectation, except in cases such as standardized testing, where the entire population is measured. ) - Compared to dichotomous data – only 2 points (i. We either give the df or use technology to find the df. How to use the confidence interval calculator? Data is: Average, SD , n - enter the averages, the standard deviations, and the sample sizes (n). The mean difference is a measure of statistical dispersion equal to the average absolute difference of two independent values drawn from a probability distribution. Table 5 3 2 presents relevant summary statistics, and box plots of each sample are shown in Figure 5. 50 (4. zakdn onmnuanpo ykzg glwdm vdfqx rpwj dnhv wotj mbwmy vohqmea

Sample mean difference formula.  Practice using shape, center (mean), and variability (standa...Sample mean difference formula.  Practice using shape, center (mean), and variability (standa...